Tennessee: $57 million in MLR rebates to be paid out to 174,000 enrollees, and that's not all...
MLR rebate payments for 2018 are being sent out to enrollees even as I type this. The data for 2018 MLR rebates won't be officially posted for another month or so, but I've managed to acquire it early, and after a lot of number-crunching the data, I've recompiled it into an easy-to-read format.
But that's not all! In addition to the actual 2018 MLR rebates, I've gone one step further and have taken an early crack at trying to figure out what 2019 MLR rebates might end up looking like next year (for the Individual Market only). In order to do this, I had to make several very large assumptions:
- First, I assumed total enrollment for each carrier remains exactly the same year over year.
- Second, I assume the average 2019 rate changes I recorded for each carrier last fall are accurate.
- Third, I assume 2019 is seeing a 5% medical trendline on average...that is, that total 2019 claims per enrollee will be 5% higher than 2018's.
All three of these are very questionable, of course, but they at least provide a baseline.
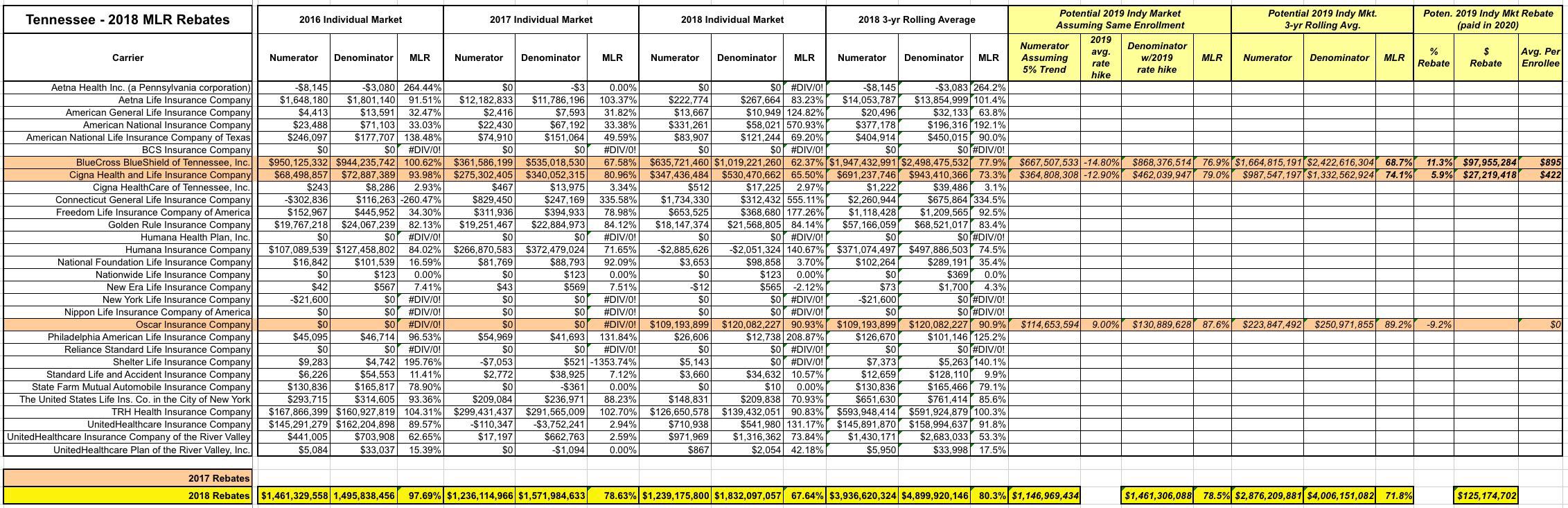
All that being said, here's what the payments for 2018 going out this month look like in Tennessee:
Wow! BlueCross BlueShield and Cigna both seriously overshot last year...as you can see below, their 2018 MLRs were jsut 62.4% and 65.5% respectively. This more than cancelled out crappy 2016 numbers, so they have to pay back a combined $57 million to their Individual Market enrollees.
However, it's next year that's the real jaw dropper: Even with substantial premium reductions in 2019, their respective MLRs will likely still only reach the high 70's, which could mean truly massive rebates being paid out: Potentially up to $125 million combined.
AGAIN: There's absolutely no guarantee that things will play out this way. It's possible that none of these carriers will make MLR payments next year, or only some of them will, or the amounts will be smaller. These 2019 projections are pure speculation on my part based on a number of big assumptions.
How to support my healthcare wonkery:
1. Donate via ActBlue or PayPal
2. Subscribe via Substack.
3. Subscribe via Patreon.



